Характеристическое исследование при испытании на тепловой разгон: литий-ионные аккумуляторы большой емкости с высоким содержанием никеля

Обзор – Тепловой разгон
Литий-ионные аккумуляторы стали незаменимыми в питании современных технологий, от смартфонов до электромобилей. Среди различных типов литий-ионных аккумуляторов высоконикелевые составы приобретают все большую популярность благодаря своей способности обеспечивать высокую емкость, что делает их идеальными для приложений, требующих длительных периодов использования.
Однако с увеличением емкости возникает проблема управления событиями теплового разгона, которые могут представлять серьезную угрозу безопасности. В этой записи блога мы углубимся в исследование, проведенное по характеристикам теплового разгона в литий-ионных аккумуляторах с высоким содержанием никеля и большой емкостью с использованием адиабатического калориметра для больших аккумуляторов (BAC-420A).
Введение – Тепловой разгон
Эволюция литий-ионных аккумуляторов отмечена постоянными достижениями в химии и дизайне для повышения плотности энергии, срока службы и безопасности. Высоконикелевые составы, такие как NCM (никель-кобальт-марганец) 811, стали перспективными кандидатами для приложений с высокой емкостью. Эти аккумуляторы предлагают более высокую плотность энергии и более низкую стоимость по сравнению с их предшественниками, что делает их все более распространенными в электромобилях и системах хранения энергии. Однако стремление к более высокой емкости также вызвало проблемы, связанные с терморегулированием и безопасностью.
Предыдущие исследования теплового разгона в литий-ионных аккумуляторах в основном были сосредоточены на меньших размерах ячеек. Отсутствие данных о характеристиках теплового разгона в высоконикелевых аккумуляторах большой емкости было значительным пробелом в этой области. Традиционные адиабатические калориметры не были оснащены для обработки рисков безопасности, связанных с тестированием таких аккумуляторов. Zeal Instruments поставила адиабатический калориметр для больших аккумуляторов (BAC-420A), используемый в исследовании. Это специализированное оборудование было разработано для безопасного тестирования высоконикелевых литий-ионных аккумуляторов большой емкости. Калориметр имел пружинный механизм блокировки в верхней крышке и корпусе печи, что повышало его способность выдерживать нарастание давления во время событий теплового разгона.
Экспериментальная процедура
- В исследовании использовались пакетные элементы NCM 811 емкостью 190 А·ч при 100%-ном уровне заряда (SOC).
- Приборы: калориметр BAC-420A, оборудование для циклирования аккумуляторных батарей, многоканальный тестер TP-700;
- Параметры окружающей среды : Эксперименты проводились при температуре 28°C;
- Частота дискретизации: 1-100 Гц;
- Режим контролируемого нагрева: использовался режим HWS-R (нагрев-ожидание-поиск-реакция);
- Обнаружение порогового значения: тепловой разгон был обнаружен на основе порогового значения скорости самонагрева 0,02°C/мин.
- Точки измерения температуры: Термопары были размещены в различных местах ячейки для отслеживания изменений температуры.

Рисунок 1 (а) Адиабатический калориметр большой батареи BAC-420A и (б) Схема установки образцов батареи
Результаты
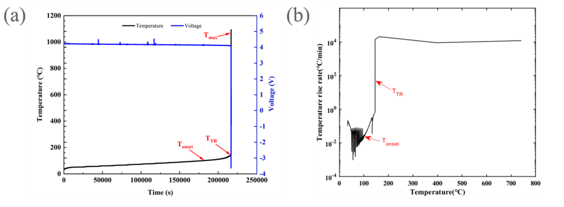
Эксперименты, проведенные с помощью адиабатического калориметра большой батареи (BAC-420A), выявили существенные сведения о поведении теплового разгона литий-ионных батарей большой емкости с высоким содержанием никеля. Адиабатическая кривая теплового разгона, изображенная на рисунке 2(a), иллюстрирует рост температуры и зависимость напряжения от времени во время теплового разгона. Кривая демонстрирует быстрый рост температуры и напряжения, что свидетельствует о высоких скоростях высвобождения энергии.

Рисунок 2. Тепловой разгон аккумулятора емкостью 190 А·ч (a) кривые зависимости роста температуры от напряжения (b) кривая зависимости скорости роста температуры от температуры
Кроме того, кривая скорости температуры (рисунок 2(b)) подчеркивает крутой подъем температуры, при этом максимальная температура (Tmax) достигает приблизительно 1100°C, а максимальная скорость подъема температуры превышает 10000°C/мин. Эти результаты превосходят данные, полученные в предыдущих исследованиях литий-ионных аккумуляторов с различной химией, таких как литий-железо-фосфатные и средне- и низконикелевые аккумуляторы NCM.
![]() |
![]() |
| Рисунок 3. Процесс теплового разгона аккумулятора емкостью 190 А·ч. Взрывозащищенный корпус (a) внешний и (b) внутренний видеоэкран. | |
Видеомониторинг во время процесса теплового разгона предоставил ценную информацию о жестоких явлениях, связанных с литий-ионными аккумуляторами высокой емкости с высоким содержанием никеля. Во время теплового разгона наблюдалось интенсивное выделение дыма и пламени из аккумуляторной батареи. Кроме того, наблюдения на месте показали, что хотя калориметр остался неповрежденным, взрыв аккумуляторной батареи создал мощный поток воздуха, способный нанести значительный ущерб объектам на расстоянии до 5 метров.
Эти наблюдения подчеркивают важность обеспечения достаточной площади вентиляции в лаборатории при проведении испытаний высоконикелевых аккумуляторов большой емкости для снижения рисков безопасности.
Заключение
Исследование, проведенное с использованием адиабатического калориметра большой батареи (BAC-420A), проливает свет на характеристики теплового разгона литий-ионных батарей большой емкости с высоким содержанием никеля. Заполняя важный пробел в исследованиях, это исследование вносит вклад в развитие методов безопасности и управления батареями, особенно в приложениях, где используются батареи большой емкости. Результаты подчеркивают важность специализированного оборудования и строгих протоколов испытаний для обеспечения безопасности и надежности систем литий-ионных батарей.
Ссылка
[1] Программа субсидирования продвижения транспортных средств на новых источниках энергии 2022 г. [EB/OL]. www.gov.cn,2021-12-31.
[2] Анализ тенденций развития ассортимента аккумуляторных батарей для легковых автомобилей на новых источниках энергии [DB/OL]. www.autoinfo.org.cn,18.06.2021.

